
33
33
3
La señal PLC es usualmente emitida por la unidad de
control electrónica (ECU) del ABS del remolque. La
aplicación de la tecnología PLC para la industria de
vehículos pesados es conocida como camiones PLC4.
Los modelos de controladores MC-30
™
con PLC
apoyarán la comunicación de acuerdo con SAE J2497.
Identificación del controlador MC-30Identificación del controlador MC-30
Identificación del controlador MC-30Identificación del controlador MC-30
Identificación del controlador MC-30
™™
™™
™
con PLC con PLC
con PLC con PLC
con PLC
Muchos de los controladores MC-30
™
tendrán la capacidad
PLC. Sin embargo, algunos controladores MC-30
™
instalados antes del 1 de marzo de 2001 puede que no. Un
controlador MC-30
™
con PLC puede ser identificado por la
etiqueta con el número de parte individual y el sellado de
puntos marcados en la caja del controlador EC-30T
™
. En
unidades con PLC, la función del PLC se puede inutilizar
con una herramienta de diagnóstico.
Este es el caso cuando un controlador MC-30
™
es instalado
en un eje auxiliar de un vehículo motorizado.
Identificación / Medida de la señal PLCIdentificación / Medida de la señal PLC
Identificación / Medida de la señal PLCIdentificación / Medida de la señal PLC
Identificación / Medida de la señal PLC
Un controlador MC-30
™
con PLC emitirá continuamente
mensajes PLC que indican el estado del ABS del remolque.
Durante la conexión de la corriente o una falla del ABS del
remolque, el controlador MC-30
™
enviará una señal al ABS
del camión para iluminar la lámpara de advertencia del tablero
de instrumentos del ABS del remolque.
Se consiguen herramientas de diagnósticos que detectan
la presencia de una señal PLC y llevan a cabo un diagnóstico
adicional del sistema, directamente en la línea de la potencia.
Para más información de estas herramientas de diagnóstico,
comuníquese con Bendix o diríjase a su agente local
autorizado de Bendix.
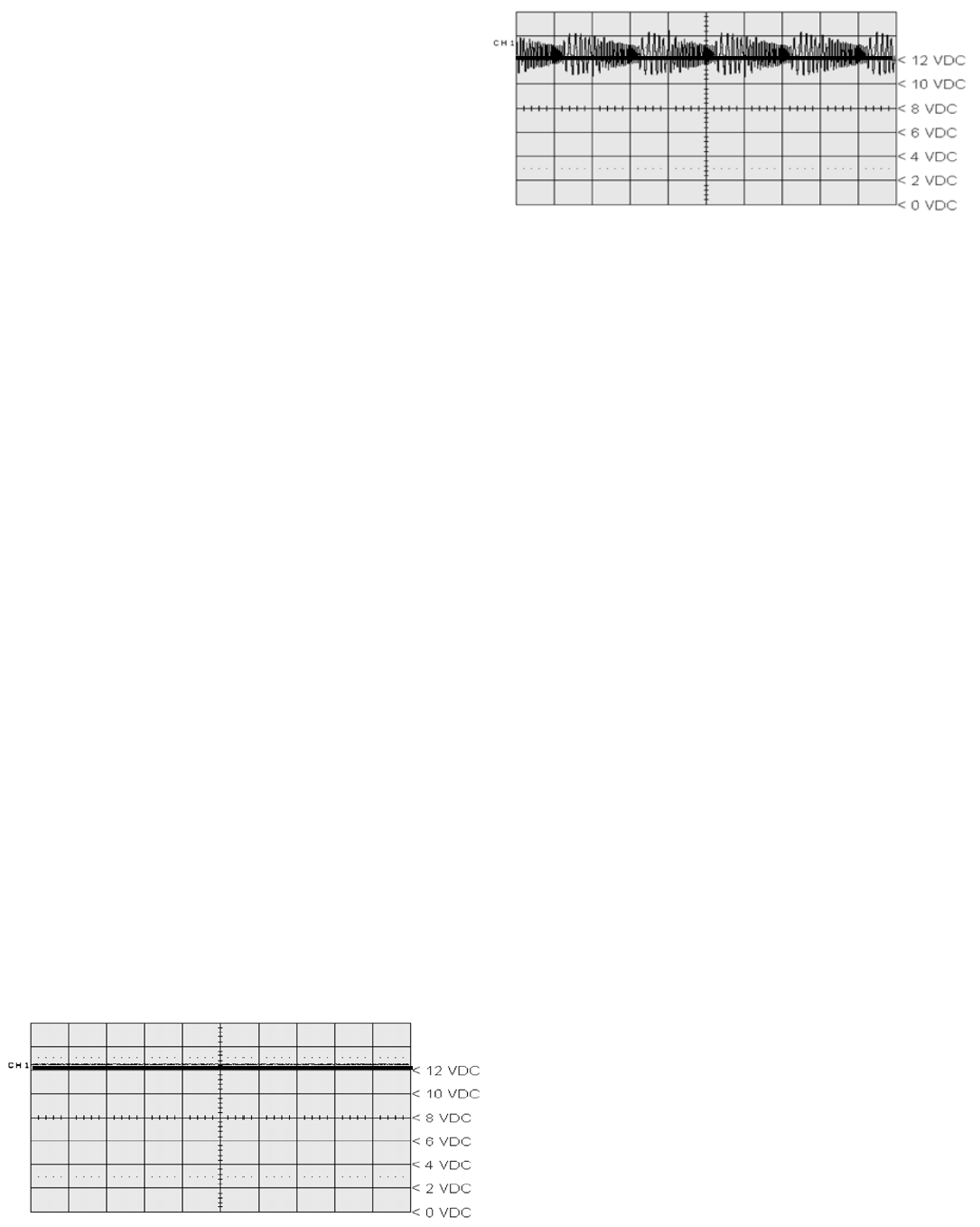
También se puede usar un osciloscopio para verificar la
presencia y resistencia de una señal PLC en la línea de la
potencia. La señal PLC es una señal modulada de frecuencia
y amplitud. Dependiendo de la carga en la línea de la
potencia, la amplitud de la señal PLC puede oscilar de 5.0
mV p-p a 7.0 V p-p.
Los ajustes que se sugieren para el osciloscopio son:
Acoplamiento de corriente alterna AC, 1 voltio/div,
100µsec/div. La señal se debe medir en la pata 7 del
conector J560 en la trompa del remolque. Vea las
figuras 3 y 4 para ejemplos de las medidas usando un
osciloscopio.
CABLES PREFORMADOS DELCABLES PREFORMADOS DEL
CABLES PREFORMADOS DELCABLES PREFORMADOS DEL
CABLES PREFORMADOS DEL
CONTROLADOR MC-30CONTROLADOR MC-30
CONTROLADOR MC-30CONTROLADOR MC-30
CONTROLADOR MC-30
™™
™™
™
(CABLE(CABLE
(CABLE(CABLE
(CABLE
FLEXIBLE DE CONEXION)FLEXIBLE DE CONEXION)
FLEXIBLE DE CONEXION)FLEXIBLE DE CONEXION)
FLEXIBLE DE CONEXION)
El controlador EC-30T
™
utiliza cables preformados
flexibles para funcionar en conjunto con ABS y otros
componentes del sistema del remolque. Varios
números de partes de cables preformados flexibles se
consiguen en Bendix. Los siguientes conectores son
opcionales y tal vez no se presentan en todos los cables
preformados flexibles: Modulador 2, auxiliar,
diagnóstico y sensores de velocidad de la rueda del
eje trasero.
Todas las puntas del cable flexible de conexión preformado
del controlador MC-30
™
están impermeabilizadas en
la interfase del conector y claramente rotuladas para
una correcta instalación.
Ninguna versión del cable flexible de conexión
completamente sellado del controlador MC-30
™
que se
muestra en la figura 5, se pueden reparar. Si necesita
reparación, vea el capítulo 12 para información de
herramientas y conector.
Si los cables preformados completamente sellados están
dañados o presentan oxidación, se deben reemplazar.
Conector ECUConector ECU
Conector ECUConector ECU
Conector ECU
El conector ECU de 30 patillas del cable flexible de conexión
está asegurado al controlador EC-30T
™
con un tornillo de
apriete y separación apretado a 15-20 pulgadas/libras. Si el
tornillo del conector se aprieta incorrectamente, esto puede
causar contaminación ambiental o daños al controlador
EC-30T
™
. Se recomienda el uso de una llave de torsión
pulgadas-libras.
Potencia / Conector de la lámpara dePotencia / Conector de la lámpara de
Potencia / Conector de la lámpara dePotencia / Conector de la lámpara de
Potencia / Conector de la lámpara de
advertencia advertencia
advertencia advertencia
advertencia
ABSABS
ABSABS
ABS
El cable flexible de conexión del controlador MC-30
™
utiliza
el conector Packard Weather Pack TTMA RP 97-99 de 5
patillas para la luz del freno, potencia constante, conexión
a tierra y la lámpara de advertencia del ABS del remolque.
La potencia / la punta del cable flexible preformado de
conexión de la lámpara de advertencia ABS se consigue en
varias longitudes para satisfacer las necesidades de
instalación, tal como los ejes corredizos.
FIGURA 3 – LINEA DE LA POTENCIA SIN UNA SEÑAL PLCFIGURA 3 – LINEA DE LA POTENCIA SIN UNA SEÑAL PLC
FIGURA 3 – LINEA DE LA POTENCIA SIN UNA SEÑAL PLCFIGURA 3 – LINEA DE LA POTENCIA SIN UNA SEÑAL PLC
FIGURA 3 – LINEA DE LA POTENCIA SIN UNA SEÑAL PLC
FIGURA 4 – LINEA DE LA POTENCIA CON UNA SEÑAL PLCFIGURA 4 – LINEA DE LA POTENCIA CON UNA SEÑAL PLC
FIGURA 4 – LINEA DE LA POTENCIA CON UNA SEÑAL PLCFIGURA 4 – LINEA DE LA POTENCIA CON UNA SEÑAL PLC
FIGURA 4 – LINEA DE LA POTENCIA CON UNA SEÑAL PLC
Comments to this Manuals